• Предмет: Алгебра
  • Автор: SorasLight
  • Вопрос задан 9 лет назад

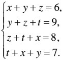
Дам 50 баллов за решение системы уравнений!!!

Приложения:

Ответа на этот вопрос пока нет. Попробуйте найти его через форму поиска.

Вас заинтересует