• Предмет: Математика
  • Автор: dream357
  • Вопрос задан 9 лет назад

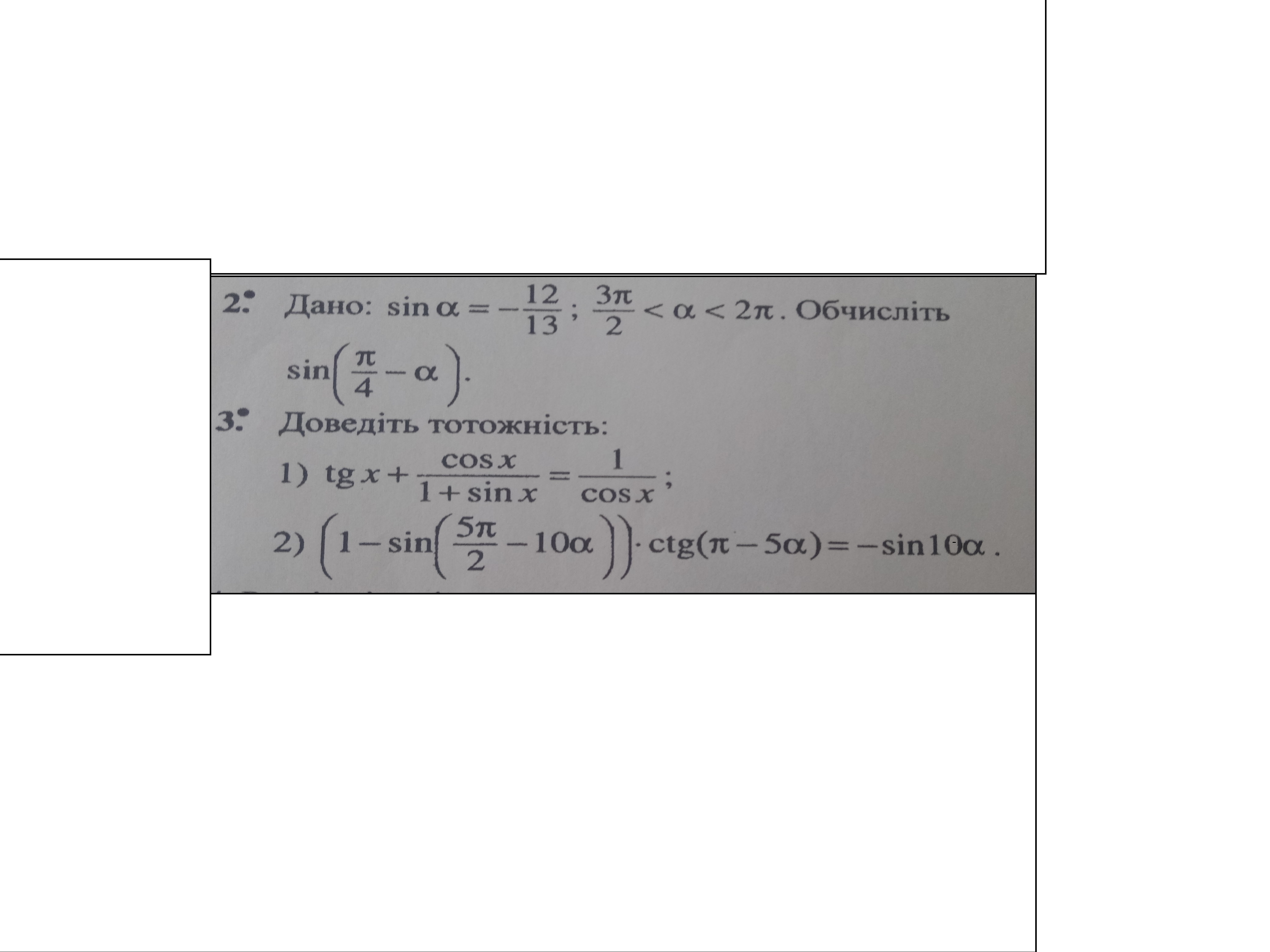
помогите пожалуйста!(((

Приложения:

Ответы

Ответ дал: Burnshine
0
Вот решение, на прикрепленном фото
Приложения:
Вас заинтересует