• Предмет: Математика
  • Автор: popovaunik
  • Вопрос задан 9 лет назад

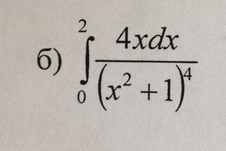
Помогите решить! Интеграл.

Приложения:

Ответа на этот вопрос пока нет. Попробуйте найти его через форму поиска.

Вас заинтересует