• Предмет: Математика
  • Автор: exstazymoon
  • Вопрос задан 9 лет назад

Помогите решить пожалуйста!!!

Приложения:

Ответы

Ответ дал: yugolovin
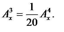
0
x(x-1)(x-2)=frac{1}{20}x(x-1)(x-2)(x-3);

x-3=20;  x=23

(из контекста следует, что x geq 3)

Ответ: 23
Вас заинтересует