Ответы
Ответ дал:
0
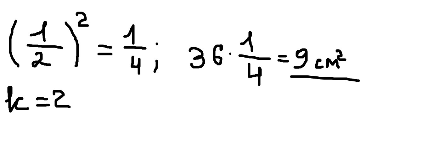
Отношение площадей подобных треугольников равно квадрату коэффициента подобия, Треугольники в данном случае подобны как 1/2, следовательно:
Приложения:

Ответ дал:
0
Спасибо! ❤
Вас заинтересует
2 года назад
10 лет назад