Ответы
Ответ дал:
0
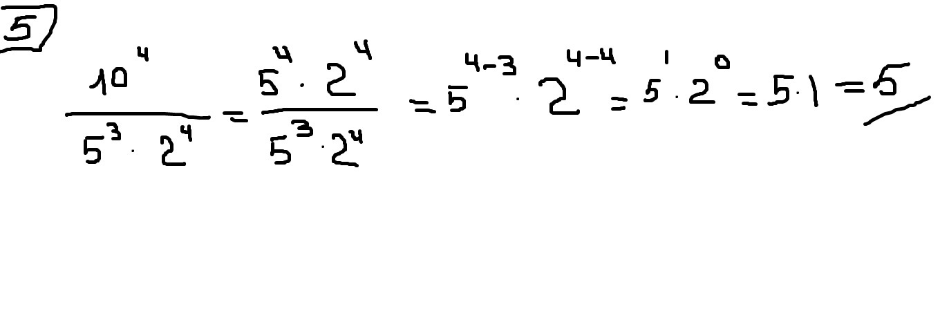
5-ое задание вроде так
Приложения:

Ответ дал:
0
6) 0,5(х+3)=0,8(10-х)
Ответ дал:
0
0,5х+1,5=8-0,8х
Ответ дал:
0
1,3х=6,5
Ответ дал:
0
х=5
Ответ дал:
0
Спасибо большое
Вас заинтересует
2 года назад
7 лет назад
7 лет назад
9 лет назад
9 лет назад
10 лет назад