Ответы
Ответ дал:
0
на скриншотах
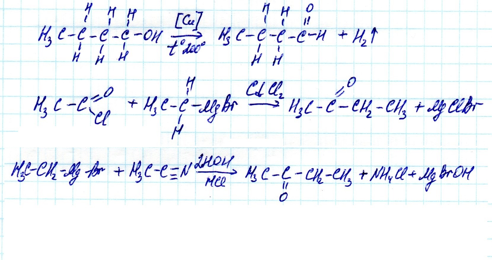
1) получение бутаналя из бутанола
2) получение бутанона из ацетилхлорида и этилмагнийбромида (реактива Гриньяра)
3) получение бутанона из ацетонитрила и этилмагнийбромида
1) получение бутаналя из бутанола
2) получение бутанона из ацетилхлорида и этилмагнийбромида (реактива Гриньяра)
3) получение бутанона из ацетонитрила и этилмагнийбромида
Приложения:


Ответ дал:
0
.....................................................................................
............................................................
............................................................
Приложения:

Вас заинтересует
9 лет назад
9 лет назад
10 лет назад
10 лет назад