• Предмет: Алгебра
  • Автор: amir990105
  • Вопрос задан 9 лет назад

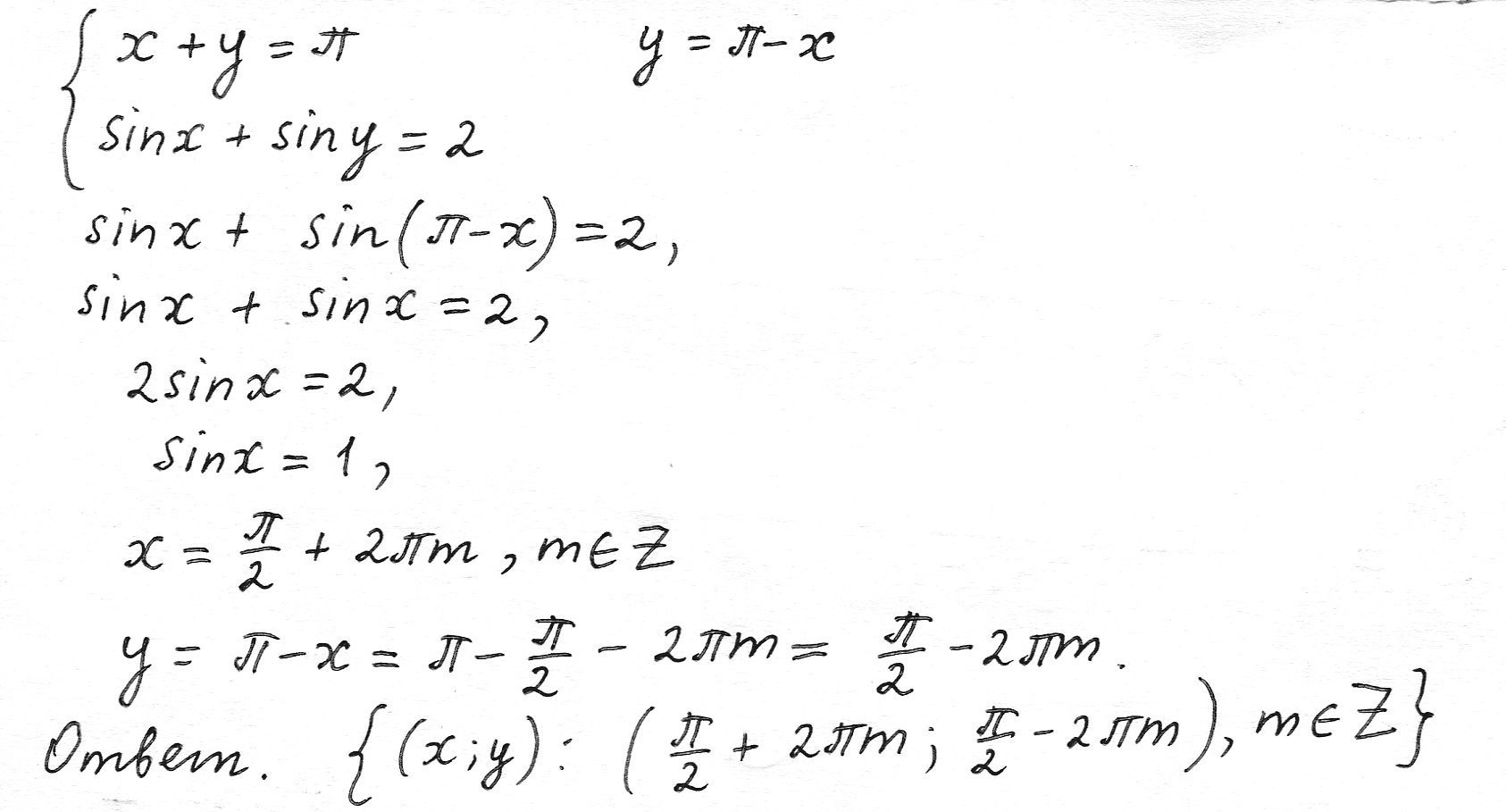
x+y=pi
sinx+siny=2
Система уравнений

Ответы

Ответ дал: Аноним
0
Решение на листочке.
Приложения:
Вас заинтересует