Задание с параметром. Показательное уравнение с модулем.
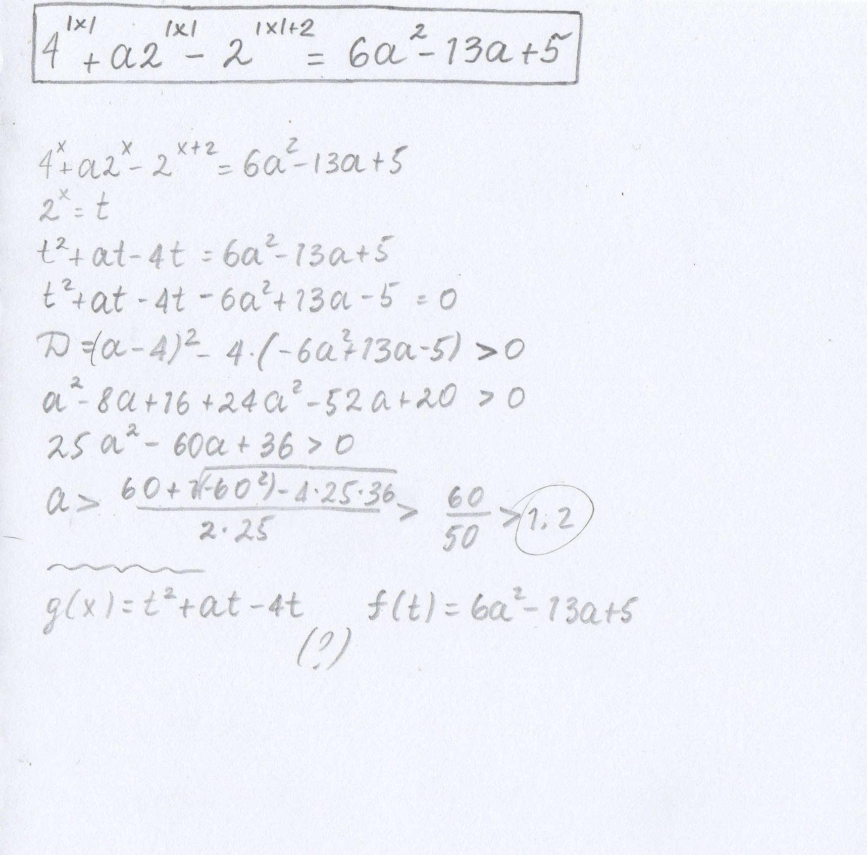
(смотреть фото) Нужно найти все значения параметра а, при которых уравнение имеет ровно 2 корня. Под самим уравнением мои жалкие потуги. Может хоть тут у кого-нибудь получится
Приложения:

Ответы
Ответ дал:
0
Это по сути квадратное уравнение.
Нам нужно, чтобы это уравнение имело ровно 2 разных корня.
Замена 2^|x| = y > 0 при любом x, тогда 4^|x| = y^2.
Заметим, что, если есть корень x ≠ 0 (y ≠ 1), то -x - тоже корень.
Поэтому уравнение после замены должно иметь только 1 корень.
y^2 + ay - 2^2*y = 6a^2 - 13a + 5
y^2 + (a - 4)y - (6a^2 - 13a + 5) = 0
Решаем как обычное квадратное уравнение
D = (a-4)^2 + 4(6a^2-13a+5) = a^2-8a+16+24a^2-52a+20 = 25a^2-60a+36
Если корень только 1, то D = 0
25a^2 - 60a + 36 = 0
D1 = 60^2 - 4*25*36 = 3600 - 3600 = 0
a = 60/50 = 6/5 = 1,2
Решим это уравнение при a = 1,2
y^2 + (1,2-4)*y - (6*1,2^2-13*1,2+5) = y^2 - 2,8y + 1,96 = (y - 1,4)^2 = 0
y = 2^|x| = 1,4
x = +-log2 (1,4)
Нам нужно, чтобы это уравнение имело ровно 2 разных корня.
Замена 2^|x| = y > 0 при любом x, тогда 4^|x| = y^2.
Заметим, что, если есть корень x ≠ 0 (y ≠ 1), то -x - тоже корень.
Поэтому уравнение после замены должно иметь только 1 корень.
y^2 + ay - 2^2*y = 6a^2 - 13a + 5
y^2 + (a - 4)y - (6a^2 - 13a + 5) = 0
Решаем как обычное квадратное уравнение
D = (a-4)^2 + 4(6a^2-13a+5) = a^2-8a+16+24a^2-52a+20 = 25a^2-60a+36
Если корень только 1, то D = 0
25a^2 - 60a + 36 = 0
D1 = 60^2 - 4*25*36 = 3600 - 3600 = 0
a = 60/50 = 6/5 = 1,2
Решим это уравнение при a = 1,2
y^2 + (1,2-4)*y - (6*1,2^2-13*1,2+5) = y^2 - 2,8y + 1,96 = (y - 1,4)^2 = 0
y = 2^|x| = 1,4
x = +-log2 (1,4)
Ответ дал:
0
Это лишь часть решения. На самом деле, там два промежутка + 2 исключаемые точки. Но все равно огромное спасибо
Вас заинтересует
2 года назад
2 года назад
7 лет назад
7 лет назад
9 лет назад
10 лет назад