(Задача из типового расчета: Определенные интегралы)
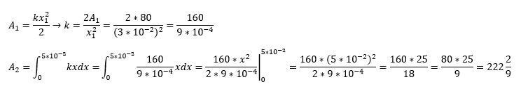
Известно, что сила, противодействующая растяжению пружины, пропорционально удлинению её ( закон Гука). Растягивая пружину на 3 см, произвели работу в 80 Дж. Какая работа будет произведена при растяжении пружины на 5 см?
Ответы
Ответ дал:
0
Прикрепила решение файлом
Приложения:

Вас заинтересует
2 года назад
2 года назад
7 лет назад
9 лет назад
9 лет назад
10 лет назад