Ответы
Ответ дал:
1
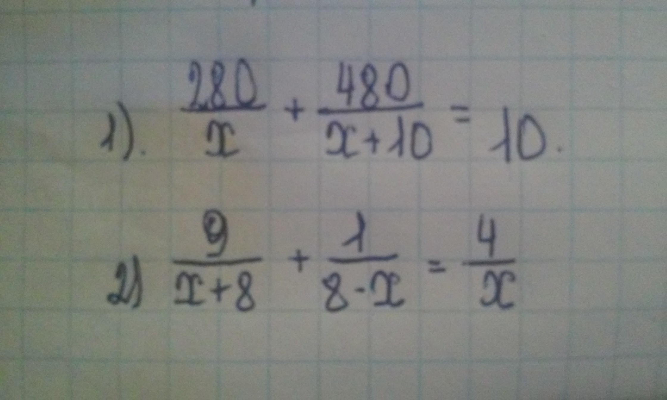
280/х + 480/(х+10) = 10
обе части надо умножить на х * (х + 10), будет
280х + 2800 + 480х = 10х² + 100х
-10х² + 660х + 2800 = 0
теперь решать квадратное уравнение
D = 660² - 4 * (-10) * 2800 = 547600
√547600 = 740
х₁ = (- 660 + 740) / (2 * (-10)) = -4
х₂ = (- 660 - 740) / (2 * (-10)) = 70
проверка
280/-4 + 480/(-4+10) = -70 + 80 = 10
280/70 + 480/(70+10) = 4 + 6 = 10
9/(х+8) + 1/(8-х) = 4/х
9/(х+8) + 1/(8-х) - 4/х = 0
обе части умножить на (х+8) * (8-х) * х, будет
-4х² + 80х - 256 = 0
D = 80² - 4 * (-4) * (-256) = 2304
√2304 = 48
х₁ = (-80 + 48) / (2 * (-4)) = 4
х₂ = (-80 - 48) / (2 * (-4)) = 16
проверка
9/(4+8) + 1/(8-4) - 4/4 = 0
9/(16+8) + 1/(8-16) - 4/16 =0
обе части надо умножить на х * (х + 10), будет
280х + 2800 + 480х = 10х² + 100х
-10х² + 660х + 2800 = 0
теперь решать квадратное уравнение
D = 660² - 4 * (-10) * 2800 = 547600
√547600 = 740
х₁ = (- 660 + 740) / (2 * (-10)) = -4
х₂ = (- 660 - 740) / (2 * (-10)) = 70
проверка
280/-4 + 480/(-4+10) = -70 + 80 = 10
280/70 + 480/(70+10) = 4 + 6 = 10
9/(х+8) + 1/(8-х) = 4/х
9/(х+8) + 1/(8-х) - 4/х = 0
обе части умножить на (х+8) * (8-х) * х, будет
-4х² + 80х - 256 = 0
D = 80² - 4 * (-4) * (-256) = 2304
√2304 = 48
х₁ = (-80 + 48) / (2 * (-4)) = 4
х₂ = (-80 - 48) / (2 * (-4)) = 16
проверка
9/(4+8) + 1/(8-4) - 4/4 = 0
9/(16+8) + 1/(8-16) - 4/16 =0
светуська1309:
Огромное Вам Спасибо. Вы очень мне помогли)
Вас заинтересует
2 года назад
2 года назад
2 года назад
2 года назад
3 года назад
3 года назад
9 лет назад