• Предмет: Химия
  • Автор: настя6712
  • Вопрос задан 9 лет назад

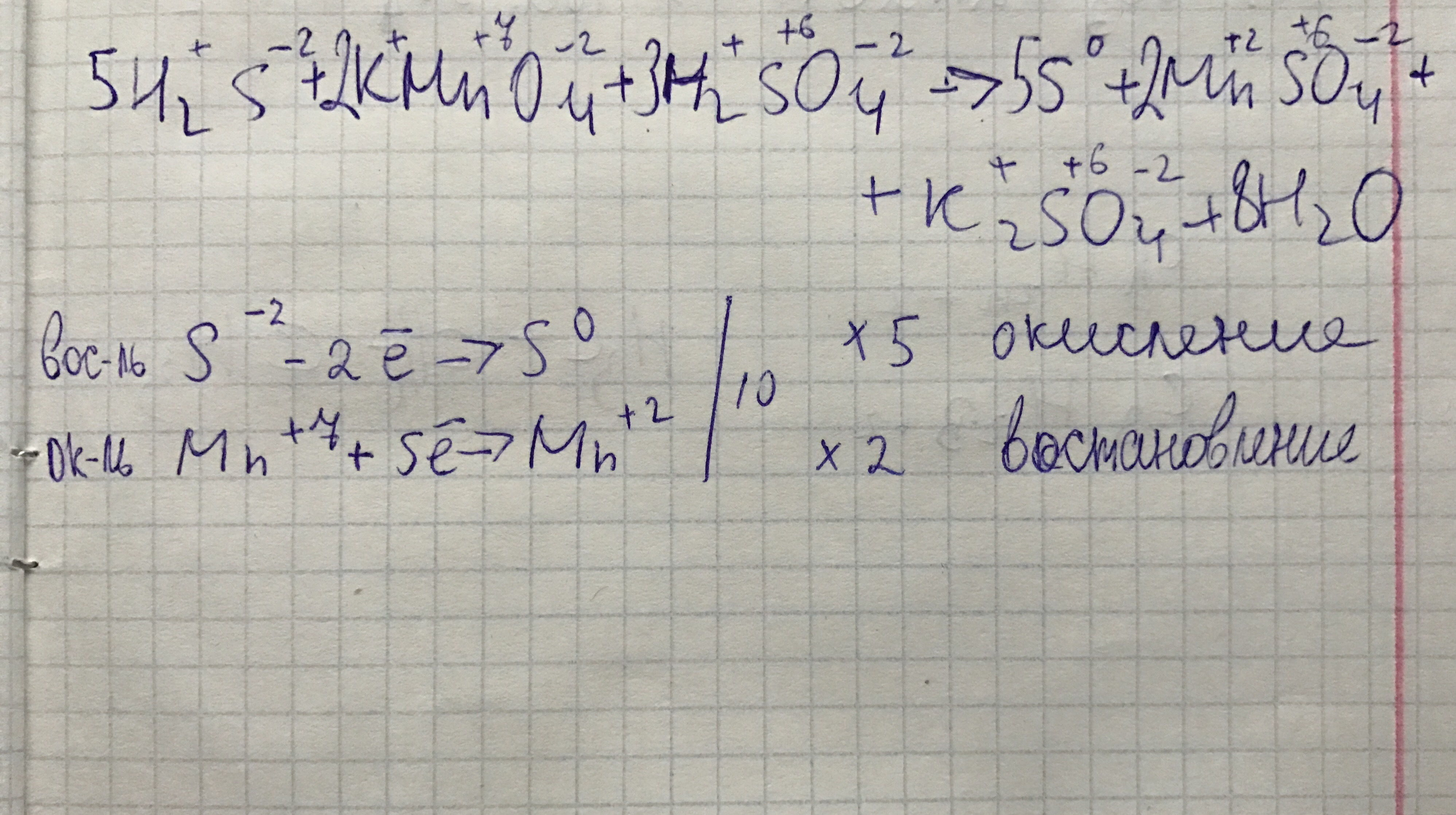
разобрать окислительно-востановительную реакцию H2S+KMnO4+H2SO4-S+MnSO4+K2SO4+H2O

Ответы

Ответ дал: Manfred24
0
Если будет непонятно, то пиши.
Приложения:
Ответ дал: настя6712
0
помоги еще с одним заданием, пожалуйста
Ответ дал: Manfred24
0
Хорошо, давай.
Ответ дал: настя6712
0
какова масса аллюминия вступившего в реакцию с соляной кислотой, если в результате взаимодействия получили 11,2 л Н2 при выходе реакции продукта 50%
Ответ дал: настя6712
0
вот
Ответ дал: svetka1574
0

   5H2S +2 KMnO4 + 3H2SO4 -> 5S +2 MnSO4 + K2SO4 +8 H2O
  S(-2) -2e -> S(0)           5     ок-ие
в-ль
  Mn(+7) +5e -> Mn(+2)  2    в-ие
ок-ль
Приложения:
Вас заинтересует