• Предмет: Алгебра
  • Автор: SOFIA0209
  • Вопрос задан 9 лет назад

ДАЮ 30 БАЛЛОВ
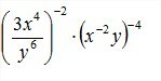
Упростите выражение на фото

Приложения:

Ответа на этот вопрос пока нет. Попробуйте найти его через форму поиска.

Вас заинтересует