Решите уравнения на множестве R
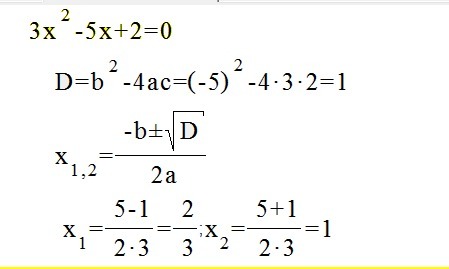
3x(2 степени)-5x+2=0
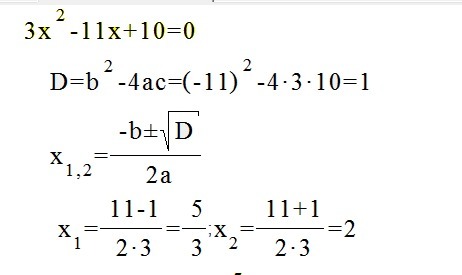
3x(2степени)-11x+10=0
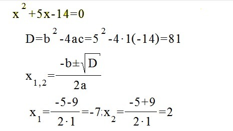
X(2степени)+5x-14=0
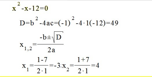
X(2 степени)-x-12=0
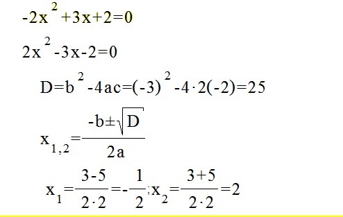
-2x(2 степени) +3x+2=0
Ответы
Ответ дал:
0
см фото
===============================
===============================
Приложения:





Вас заинтересует
2 года назад
2 года назад
7 лет назад
7 лет назад
10 лет назад
10 лет назад