• Предмет: Математика
  • Автор: Ikylelu11
  • Вопрос задан 9 лет назад

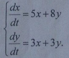
Найти общее решение системы дифференциального уравнения

Приложения:

Ответа на этот вопрос пока нет. Попробуйте найти его через форму поиска.

Вас заинтересует