Всем доброй ночи, помогите в преобразовании формулы к простейшей как это вообще так получилось обьяснить нужно:) Спасибо!
Приложения:

Ответы
Ответ дал:
0
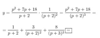
Рассмотрите предложенный вариант:
Можно использовать метод неопределённых коэффициентов, но в данном примере можно сделать проще:
1. Представьте многочлен в числителе так: (p²+4p+4)+3p+6+8=(p²+4p+4)+3(p+2)+8=(p+2)²+3(p+2)+8
2. Представьте одну дробь с преобразованным числителем в виде суммы трёх дробей с одинаковым знаменателем (р+2)³. Числители каждой из трёх дробей будут соответственно (p+2)²; 3(p+2) и 8.
3. После сокращений в первой и второй дробях получится выражение, которое дано во второй строке условия.
P.S. Возможности для фото нет + формулы почему-то не работают.
Можно использовать метод неопределённых коэффициентов, но в данном примере можно сделать проще:
1. Представьте многочлен в числителе так: (p²+4p+4)+3p+6+8=(p²+4p+4)+3(p+2)+8=(p+2)²+3(p+2)+8
2. Представьте одну дробь с преобразованным числителем в виде суммы трёх дробей с одинаковым знаменателем (р+2)³. Числители каждой из трёх дробей будут соответственно (p+2)²; 3(p+2) и 8.
3. После сокращений в первой и второй дробях получится выражение, которое дано во второй строке условия.
P.S. Возможности для фото нет + формулы почему-то не работают.
Ответ дал:
0
спасибо :)
Вас заинтересует
2 года назад
6 лет назад
9 лет назад
10 лет назад