• Предмет: Алгебра
  • Автор: kris898
  • Вопрос задан 9 лет назад

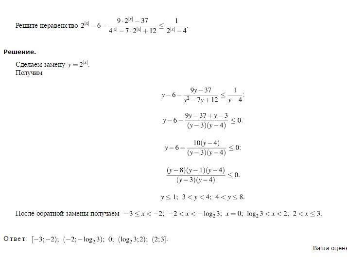
Привет, подскажите, откуда в ответе 0?

Приложения:

Ответы

Ответ дал: dashgelber
0
ты должен приравнять левую часть к нулю
Ответ дал: kris898
0
Для чего?
Ответ дал: dashgelber
0
это неравенство которое надо решить
Вас заинтересует