• Предмет: Математика
  • Автор: Gudvyn2281
  • Вопрос задан 9 лет назад

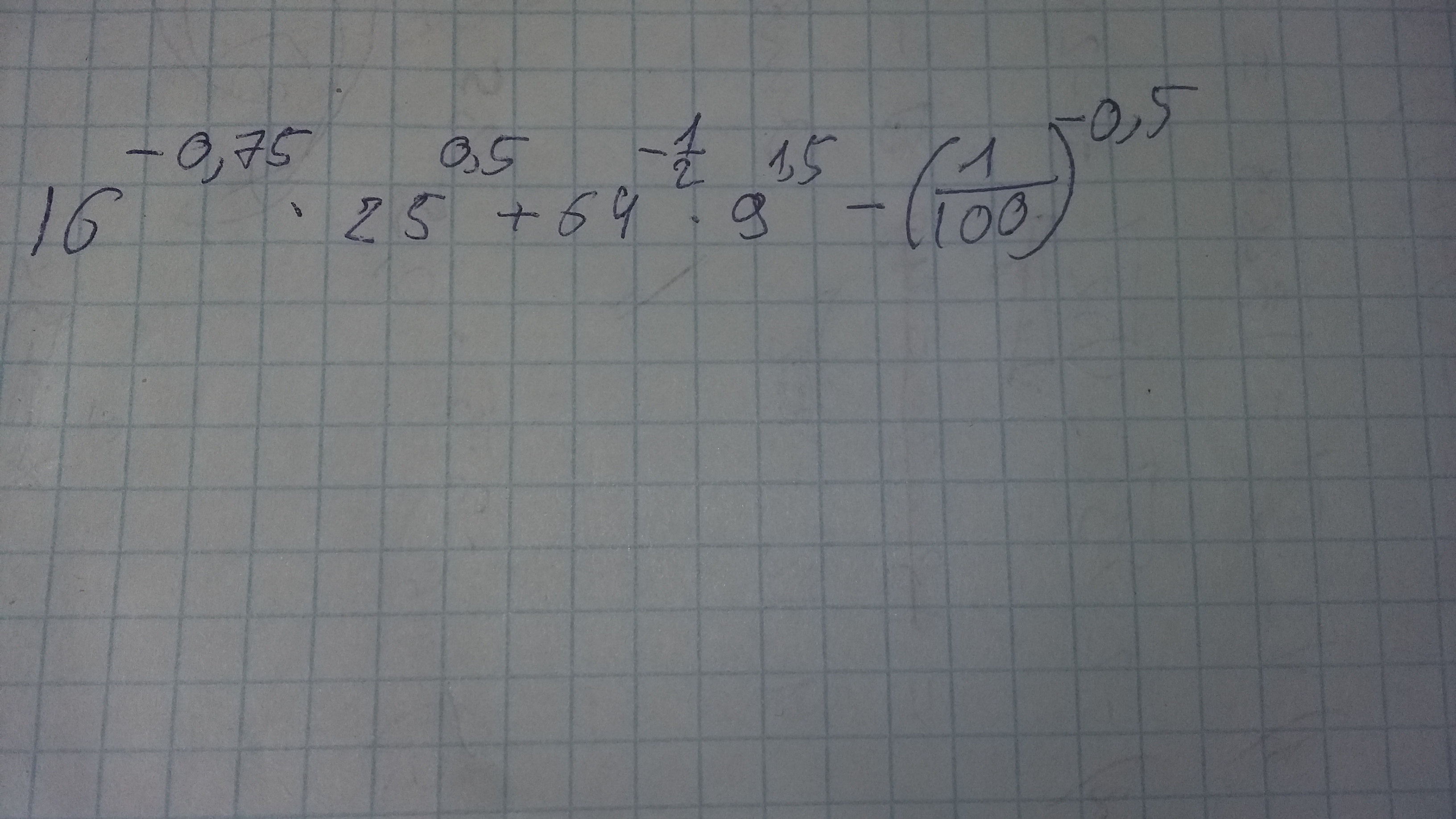
Срочно помогите решить срочно плиз. Буду очень благодарен!!!!!

Приложения:

Ответы

Ответ дал: sedinalana
0
(2^4)^-0,75*(5²)^0,5+(2^4)^(-1/2)*(3²)^1,5-(10^-2)^-0,5=
=2^-3*5+2^-2*3³-10=1/8*5+1/4*27-10=5/8+27/4-10=
=(5+54-80)/8=-21/8=-2,625
Вас заинтересует