• Предмет: Математика
  • Автор: DingoDongo
  • Вопрос задан 9 лет назад

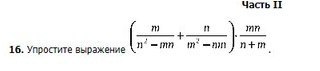
Помогите, очень срочно

Приложения:

Ответы

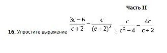
Ответ дал: Crystalzzz
0
Просто формулы сокращенного умножения раскрываешь. В первом какой-то странный ответ получился, хотя делал два раза хд 
Приложения:
Вас заинтересует