Ответы
Ответ дал:
0
Возможно это, но я не уверена, можно было и в самом инете поискать..
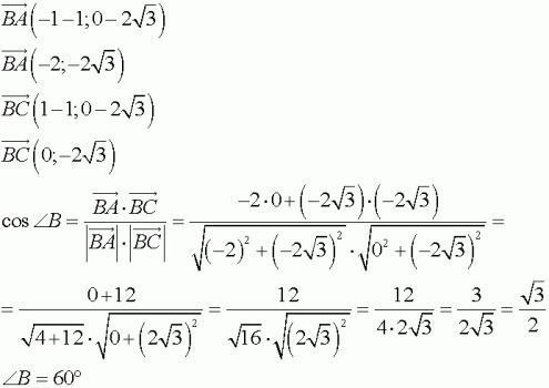
Приложения:

Вас заинтересует
2 года назад
2 года назад
9 лет назад
9 лет назад
10 лет назад