Ответы
Ответ дал:
0
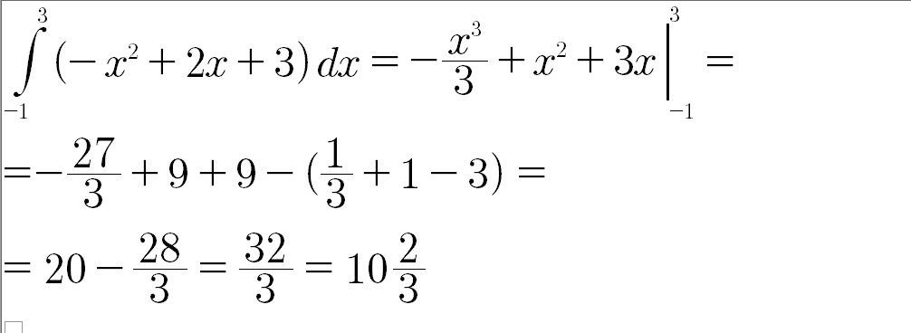
см график + решение
======================
======================
Приложения:


Ответ дал:
0
я туда скину
Ответ дал:
0
вк можно?
Ответ дал:
0
у меня нет вк
Ответ дал:
0
ну лан тогда уже не надо спасибо ☺☺
Ответ дал:
0
открылось
Вас заинтересует
2 года назад
2 года назад
7 лет назад
7 лет назад
9 лет назад
9 лет назад
10 лет назад
10 лет назад