Ответы
Ответ дал:
0
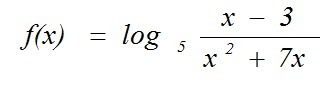
Функция будет определена на промежутке


x²+6x+3=0
D=24


x(x+7)=0
x3=0; x4=-7
+ - + - +
-------------0-------------0-------------0-------------0------------>
-7 -3-√6 -3+√6 0 x
x∈(-7;-3-√6)∪(-3+√6;0)
x²+6x+3=0
D=24
x(x+7)=0
x3=0; x4=-7
+ - + - +
-------------0-------------0-------------0-------------0------------>
-7 -3-√6 -3+√6 0 x
x∈(-7;-3-√6)∪(-3+√6;0)
Вас заинтересует
2 года назад
7 лет назад
7 лет назад
10 лет назад
10 лет назад