Ответы
Ответ дал:
0
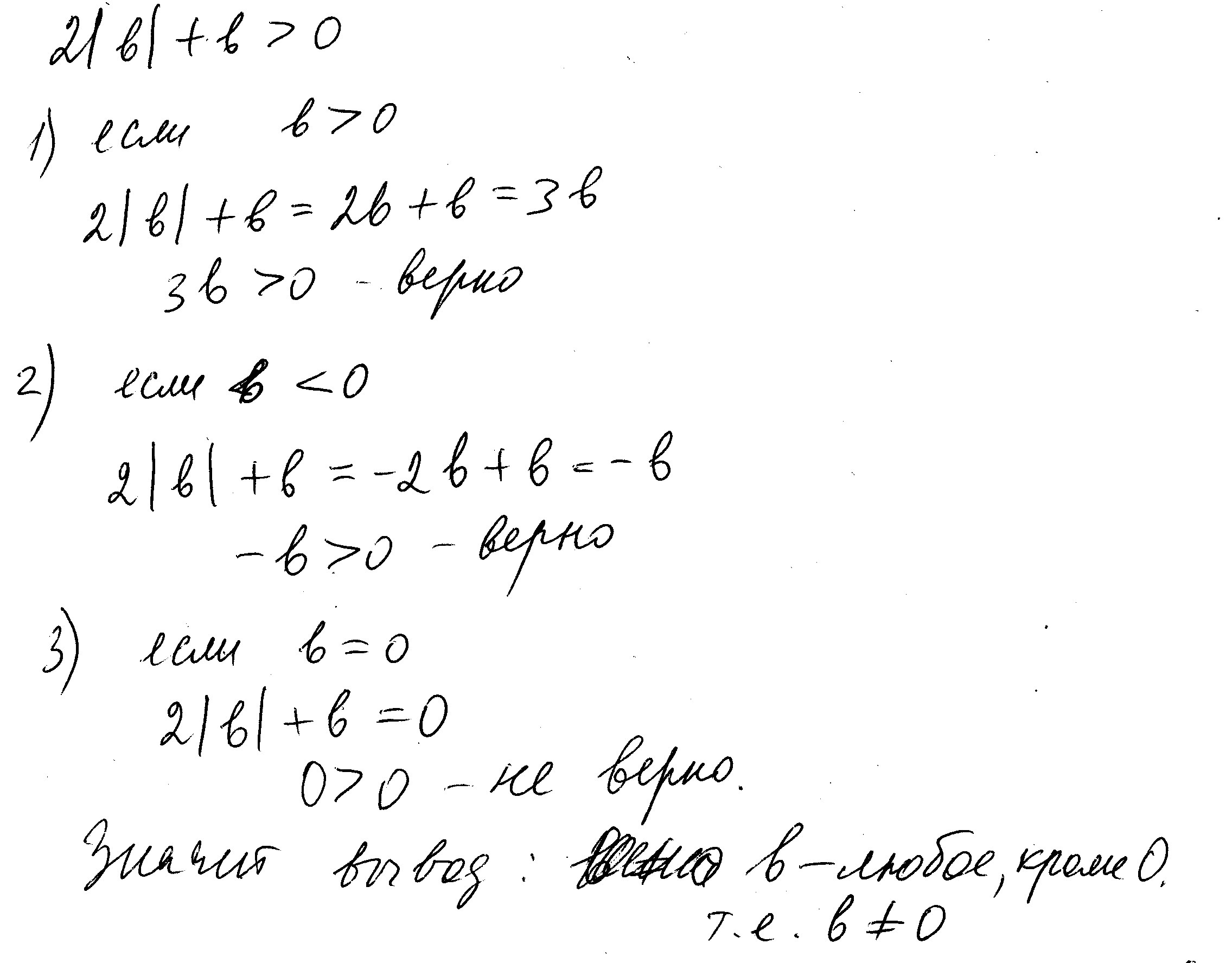
если b=0 =>|b|=0 => 2|b|+b=2b+b=3b=3*0=0, неравенство не выполняется
если b>0 => |b|=b =>2|b|+b=2b+b=3b>0, неравенство выполняется
если b<0 => |b|=-b =>2|b|+b=-2b+b=-b>0, неравенство выполняется
из чего вывод что b не равно 0 (любое действительное число кроме 0)
если b>0 => |b|=b =>2|b|+b=2b+b=3b>0, неравенство выполняется
если b<0 => |b|=-b =>2|b|+b=-2b+b=-b>0, неравенство выполняется
из чего вывод что b не равно 0 (любое действительное число кроме 0)
Ответ дал:
0
решение во вложенном файле (исправлено)
Приложения:

Ответ дал:
0
Не верно, b<0 тоже входит в область допустимых значений
Ответ дал:
0
у вас в 2) -b>0 , но b принимает только отрицательные значения, соответственно b будет положительным
Ответ дал:
0
я уже поняла, но у меня почему-то сайт не позволяет удалить неверное решение. Сейчас попытаюсь
Вас заинтересует
2 года назад
7 лет назад
9 лет назад