• Предмет: Математика
  • Автор: bogomazyuk
  • Вопрос задан 9 лет назад

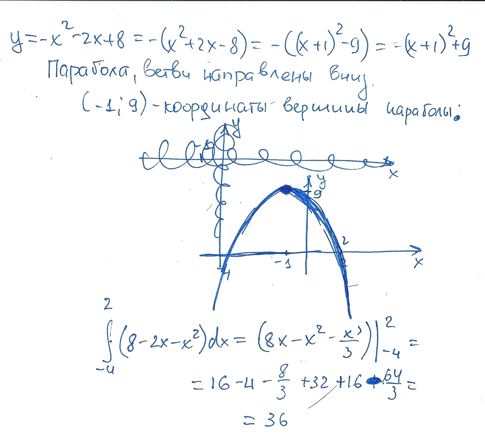
y=-x2 - 2x + 8
Y=0
Площадь фигуры огран. Линиями

Ответы

Ответ дал: Аноним
0
Решение дано в виде фотографии :)
Приложения:
Вас заинтересует