• Предмет: Алгебра
  • Автор: alen76767
  • Вопрос задан 9 лет назад

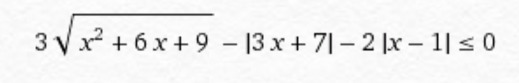
Решить неравенство. С подробным решением пож-та.

Приложения:

Ответы

Ответ дал: sedinalana
0
3|x+3|-|3x+7|-2|x-1|≤0
1)x<-3
-3x-9+3x+7+2x-2≤0
2x≤4
x≤2
x∈(-∞;-3)
2)-3≤x<-2 1/3
3x+9+3x+7+2x-2≤0
8x≤-14
x≤-1,75
x∈[-3;-2 1/3)
3)-2 1/3≤x<1
3x+9-3x-7+2x-2≤0
2x≤0
x≤0
x∈[-2 1/3;0]
4)x≥1
3x+9-3x-7-2x+2≤0
-2x≤-4
x≥2
x∈[2;∞)
Ответ x∈(-∞;0] U [2;∞)
Ответ дал: NNNLLL54
0
3sqrt{x^2+6x+9}-|3x+7|-2|x-1| leq 0\\3sqrt{(x+3)^2}-|3x+7|-2|x-1| leq 0\\3|x+3|-|3x+7|-2|x-1| leq 0\\Znaki; (x+3):quad ---(-3)+++\\Znaki; (3x+7):quad ---(-frac{7}{3})+++\\Znaki; (x-1):quad ---(1)+++\\a); ; x leq -3:; ; 3(-x-3)-(-3x-7)-2(-x+1) leq 0\\2x leq 0; ; to ; ; ; x leq 0; ; to ; ; ; xin (-infty ,-3; ]\\b); ; -3 textless  x leq -frac{7}{3}:; ; 3(x+3)-(-3x-7)-2(-x+1) leq 0\\8x leq -14; ; to ; ; x leq -frac{7}{4}; ,; ; x leq -1frac{3}{4}

xin (-3,-2frac{1}{3}; ]\\c); ; -2frac{1}{3} textless  x leq 1:; ; 3(x+3)-(3x+7)-2(-x+1) leq 0\\2x leq 0; ,; x leq 0; ; to ; ; xin (-2 frac{1}{3},0; ]\\d); ; x textgreater  1:; ; 3(x+3)-(3x+7)-2(x-1) leq 0\\-2x+4 leq 0; ,; ; x geq  2; ; to; ; xin [, 2,+infty )\\Otvet:; ; xin (-infty ,0; ]cup [2,+infty )
Ответ дал: alen76767
0
Скажите пож-та, почему под буквой C x принадлежит до 1] ? Там же, если знаки раставить, получится ++-, и раскрываем как 3x+9-3x-7+2x-2=0. Cледовательно, сократив, получим 2x=0 -> x=0/
Ответ дал: NNNLLL54
0
До 0.
Ответ дал: alen76767
0
))))0
Вас заинтересует