• Предмет: Алгебра
  • Автор: MrStupido
  • Вопрос задан 9 лет назад

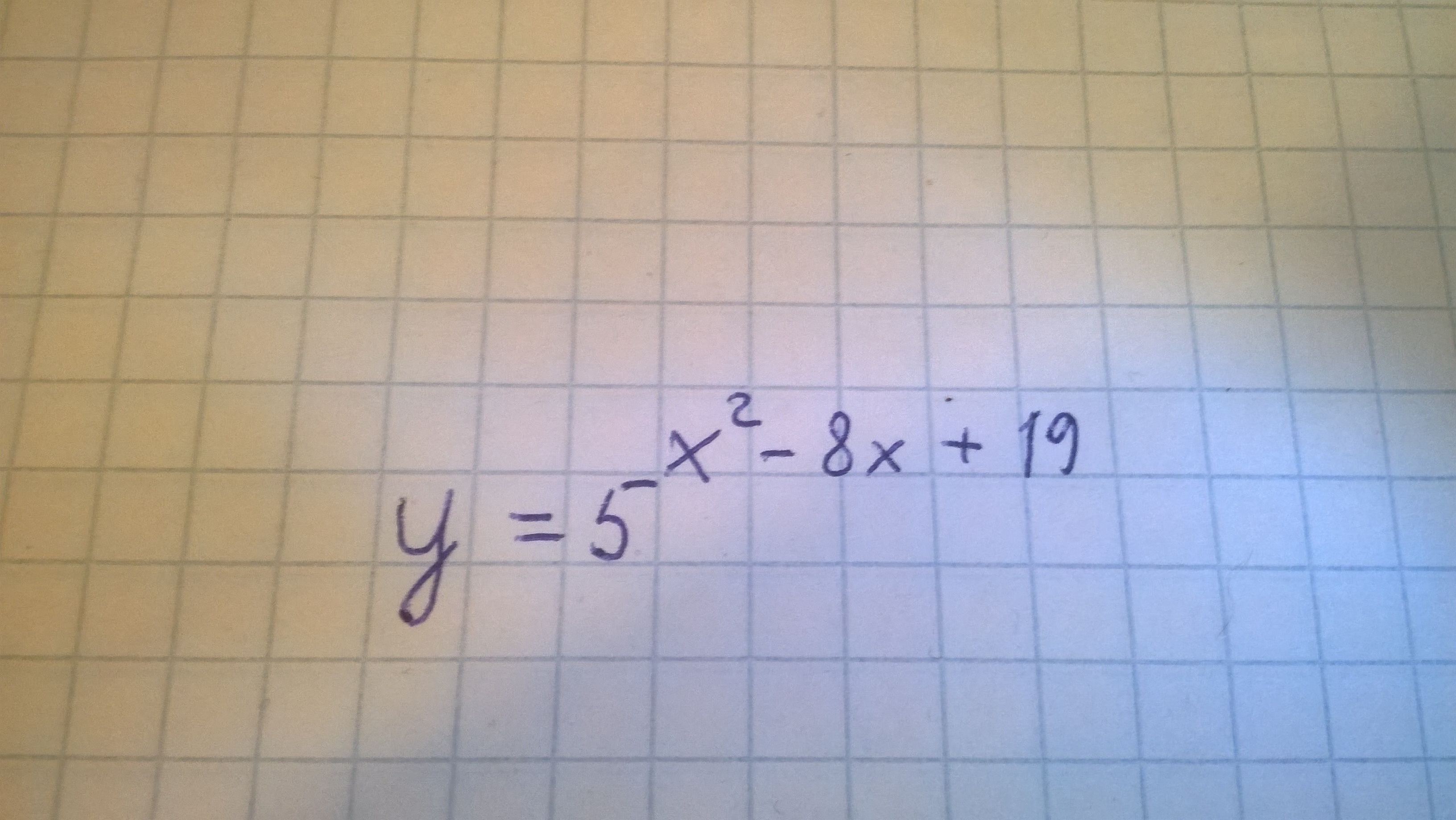
Помогите найти производную функции:
(заранее благодарю)

Приложения:

Ответы

Ответ дал: Simplify
0
y'=5^(x^2-8x+19)*ln(5)*(2x-8);
Вас заинтересует