Ответы
Ответ дал:
0
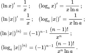
производная lnx = 1/х , а производная х=1
значит все вместе будет 1/x-x
значит все вместе будет 1/x-x
Приложения:

Вас заинтересует
2 года назад
7 лет назад
9 лет назад
10 лет назад