• Предмет: Алгебра
  • Автор: Renli
  • Вопрос задан 9 лет назад

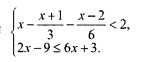
Допоможіть розв'язати систему нерівностей,будь-ласка)

Приложения:

Ответы

Ответ дал: kratgv
0
1) 6х-2(х+1)-(х-2)<2·6
6х-2х-2<12
4x<14
x<3,5
2)2x-9≤6x+3
2x-6x≤3+9
-4x≤12
x≥-3
3)x∈[-3;3,5)
Вас заинтересует