• Предмет: Геометрия
  • Автор: Svika98
  • Вопрос задан 9 лет назад

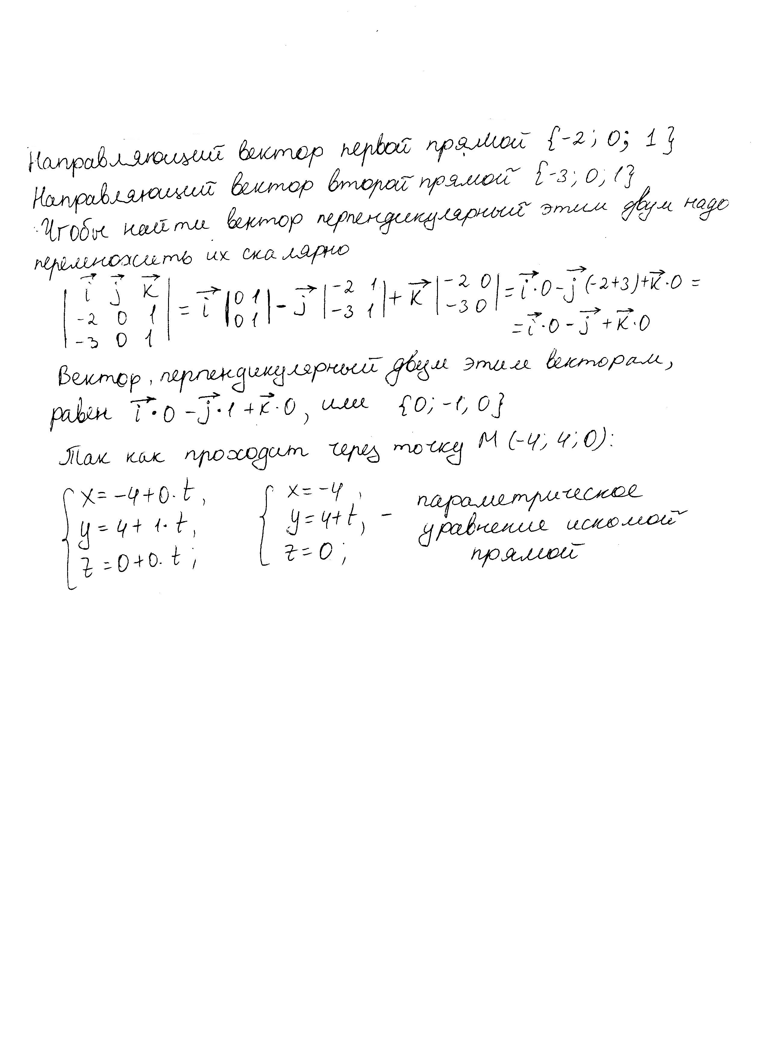
Составить параметрические уравнения прямой проходящей через точку М перпендикулярно к прямым (см. фото)

Приложения:

Ответы

Ответ дал: bearcab
0
Решение в приложении.
Приложения:
Вас заинтересует