• Предмет: Алгебра
  • Автор: Kami000013
  • Вопрос задан 9 лет назад

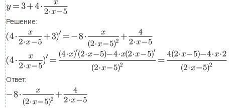
f(x)=3+4x/2x-5 производная

Ответы

Ответ дал: Maria1622
0
f'(x) = (3+4x)'*(2x-5)-(3+4x)*(2x-5)'/(2x-5)^2= 4*(2x-5)-(3+4x)*2/(2x-5)^2=8x-20-6-8x/(2x-5)^2=-26/(2x-5)^2
Ответ дал: natashaschaste
0
.....................................
Приложения:
Вас заинтересует