• Предмет: Алгебра
  • Автор: kophey
  • Вопрос задан 9 лет назад

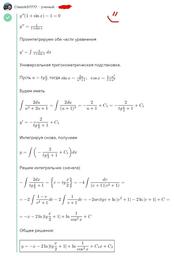
Найти общее решение дифференциального уравнения:
y''(1+sinx)-1=0

Ответы

Ответ дал: Аноним
0
Скриншот........................
Приложения:
Вас заинтересует