Помогите срочно!!!!!! Нужно до завтра!!!
1) Вычислить:
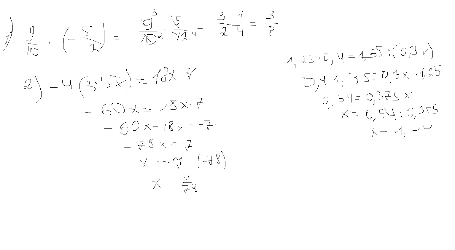
-9/10*(-5/12)
2) Решить уравнения:
-4(3*5х)=18х-7
1,25:0,4=1,35:(0,3х)
3)Задача:
За арбуз и дыню заплатили вместе 39,6 руб. 1 кг дыни дороже 1 кг арбуза на 2 руб.
Сколько стоит 1кг дыни, если арбуза-4,2 кг, а дыни-5,4 кг?
Ответы
Ответ дал:
0
#1
-9/10*(-5/12)=9/24=3/8=0,375
#2
-4(3*5х)=18х-7
-4*15x=18x-7
-60x-18x=-7
-78x=-7|:(-78)
x=7/78
1,25:0,4=1,35:(0,3х)
1,25*0,3x=0,4*1,35
0,375x=0,54|:0,375
x=1,44
#3
1 кг дыни-x
1 кг арбузов-x-2
4,2(x-2)+5,4x=39,6
4,2x-8,4+5,4x=39,6
9,6x=39,6+8,4
9,6x=48|:9,6
x=5(р)
-9/10*(-5/12)=9/24=3/8=0,375
#2
-4(3*5х)=18х-7
-4*15x=18x-7
-60x-18x=-7
-78x=-7|:(-78)
x=7/78
1,25:0,4=1,35:(0,3х)
1,25*0,3x=0,4*1,35
0,375x=0,54|:0,375
x=1,44
#3
1 кг дыни-x
1 кг арбузов-x-2
4,2(x-2)+5,4x=39,6
4,2x-8,4+5,4x=39,6
9,6x=39,6+8,4
9,6x=48|:9,6
x=5(р)
Ответ дал:
0
первое и второе задание в приложенном файле
3, 1кг арбуза-х руб
1 кг дыни-х+2 руб
4,2х+5,4(х+2)=39,6
4,2х+5,4х+10,8=39,6
9,6х=39,6-10,8
9,6х=28,8
х=28,8:9,6
х=3 руб- стоит 1 кг арбуза
3+2=5 руб- стоит 1 кг дыни
3, 1кг арбуза-х руб
1 кг дыни-х+2 руб
4,2х+5,4(х+2)=39,6
4,2х+5,4х+10,8=39,6
9,6х=39,6-10,8
9,6х=28,8
х=28,8:9,6
х=3 руб- стоит 1 кг арбуза
3+2=5 руб- стоит 1 кг дыни
Приложения:

Вас заинтересует
2 года назад
7 лет назад
9 лет назад
9 лет назад