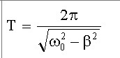
Есть формула для периода затухающих колебаний (смотреть на фотке), так вот, а меня попросили получается как-то из этой формулы найти омега нулевое и бетта. Так как это сделать? Или может быть есть уже готовые формулы?
Приложения:
Ответы
Ответ дал:
0
Как это сделать? Ну была такая арабская книжка, в которой это было подробно изложено, называлась "Китаб аль-Джебр"
Вот так это делается

Вот так это делается
Вас заинтересует
2 года назад
2 года назад
7 лет назад
7 лет назад
9 лет назад
9 лет назад
10 лет назад