• Предмет: Алгебра
  • Автор: lugovskoyvlad
  • Вопрос задан 9 лет назад

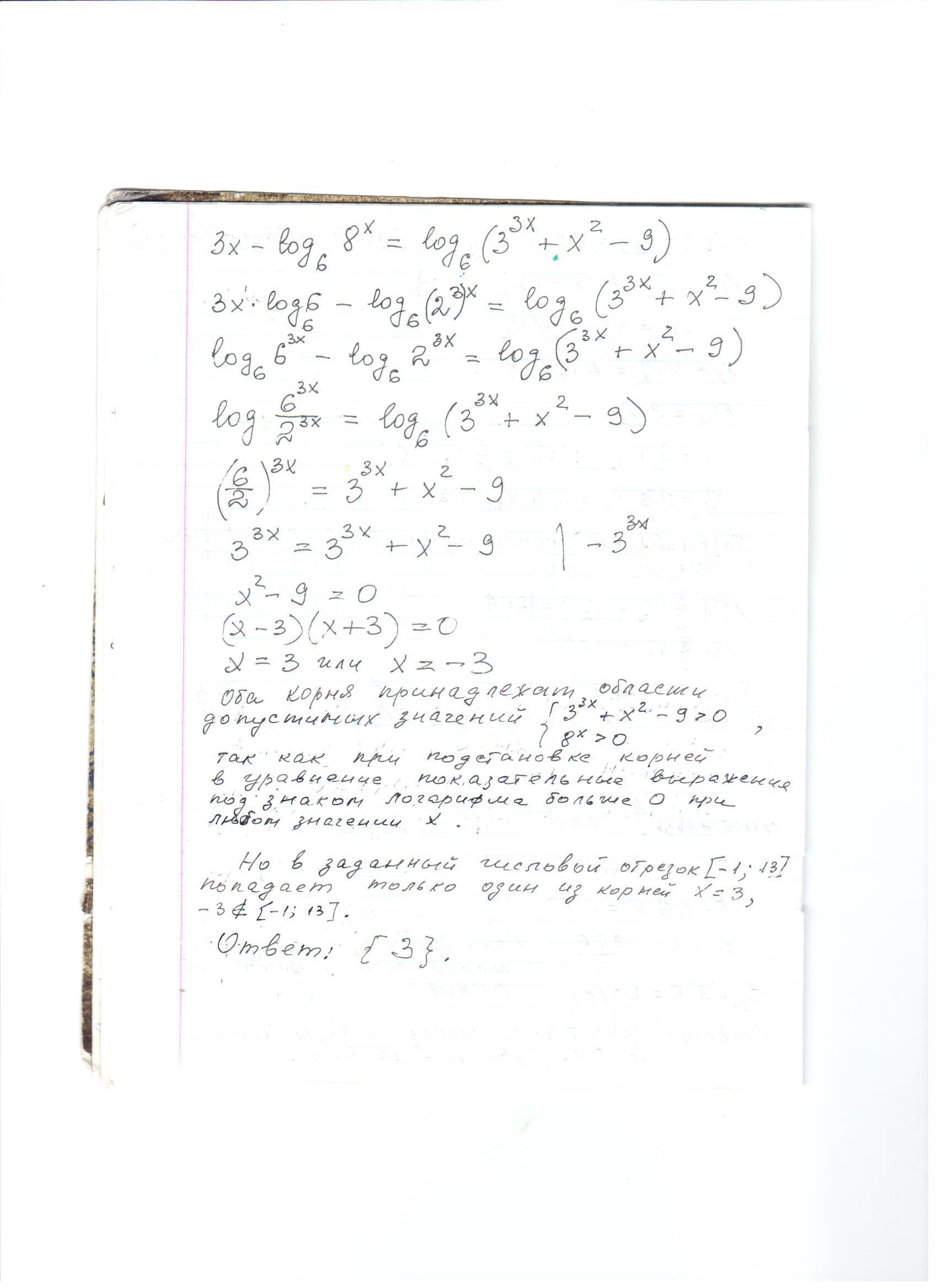
Решить уравнение и найти корни принадлежащие отрезку

Приложения:

Ответы

Ответ дал: KuOV
0
3x -  log_{6} 2^{3x}  =  log_{6}( 3^{3x} +  x^{2}  - 9 )
3x - 3x · log₆2 = log₆(3³ˣ + x² - 9)
3x(1 - log₆2) = log₆(3³ˣ + x² - 9)
3x(1 - 1/log₂6) = log₆(3³ˣ + x² - 9)
3x(1 - 1/ (1 + log₂3)) = log₆(3³ˣ + x² - 9)
3x ( (1 + log₂3 - 1) / (1 + log₂3)) = log₆(3³ˣ + x² - 9)
3x ·  log₂3  / (1 + log₂3) = log₂ (3³ˣ + x² - 9) / log₂ 6
3x ·  log₂3  / (1 + log₂3) = log₂ (3³ˣ + x² - 9) / (1 + log₂3)
log₂ 3³ˣ = log₂ (3³ˣ + x² - 9)
3³ˣ = 3³ˣ + x² - 9
x² - 9 = 0
x = - 3
x = 3












Ответ дал: badakur
0
В заданном числовом промежутке только корень х=3. Ответ: 3.
Ответ дал: KuOV
0
Да, забыла о промежутке...
Ответ дал: badakur
0
Решение в приложении.
Приложения:
Вас заинтересует