11 класс. Очень долго боролась с неравенством на экзамене.
И 6 выносила, и 27 как 3^3 представляла, все бестолку. Быть может, поможет кто? Как к неравенству подойти?
Приложения:
Ответы
Ответ дал:
0
Ответ дал:
0
на здоровье
Ответ дал:
0
не согласна. корень квадратный из 14 больше 3, а у вас он в решении стоит раньше. И потом, где ссылка на корень четной кратности. Вы не учли это факт
Ответ дал:
0
СЕЙЧАС ПРОВЕРЮ
Ответ дал:
0
1)решение выложено в сокращенном виде и потому кажется что есть ошибки
Ответ дал:
0
действительно, решение содержало ошибку, исправил.
Ответ дал:
0
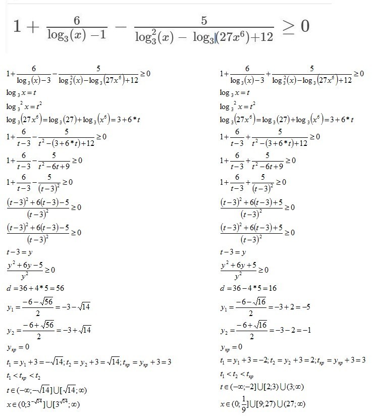
log3_x = t; x >0 по одз
1 + 6 / ( t - 3) - 5 /( t^2 - 6t + 9) ≥ 0;
1 + 6 / ( t - 3) - 5 /( t- 3)^2 ≥ 0;
t^2 - 6t + 9 + 6(t-3 ) - 5 / (t -3)^2 ≥ 0;
t^2 - 6t + 9 + 6t - 18 - 5 / (t - 3)^2 ≥ 0;
(t^2 - 14) / (t - 3)^2 ≥0;
(t - √14) (t + √14) / ( t - 3)^2 ≥ 0; t ≠3
t = - √14;.
t = √14;
t = 3
эти точки отмечаем на координатной прямой.
Точка t = 3 _ это корень четной кратности, при переходе через него знак не меняем.
Метод интервалов для новой переменной t
+ - - +
___________- √14 __________3__________√14_________t
t ≤ - √14 U t ≥ √14.
log3_x ≤ - √14 U log3_x ≥ √14
с учетом одз х пронадлежит множеству
Ответ
0 < x ≤ 1/ 3^(√14) U x ≥ 3^(√14).
PS.
Единственное, смущают цифры в числителе. Понятнее было бы, если бы там вместо t^ - 14 было выражение типа t^2 - 16, например. Возможно где-то коэффициент неверно в условии проставлен. если бы вместо 5 в числителе было число 7, получилось бы такое неравенство
t^2 - 16 /(t-3)^2 ≥ 0;
(t -4)(t+4) / (t-3)^2 ≥ 0; И тогда метод интервалов решение для переменной t
+ - - +
_______- 4 ________3_________4____t
t ≤ - 4 U t ≥ 4 ;
Log3_x ≤ - 4 U log3_x ≥ 4;
0 < x ≤ 1/81 U x ≥ 81.
Если в условии перед 5 стоит вместо минуса плюс. ТО получается красота
t^ - 4 / (t - 3)^2 ≥ p;
(t - 2)(t+2) / (t - 3) ^2 ≥ 0;
+ - + +
__________- 2 ______________2___________3__________t
t ≤ - 2 U 2 ≤ t < 3 U t > 3;
log3_x ≤ - 2 U 2 ≤ log3_x <3 U log3_x >3;
0 < x ≤ 1/9 U 9 ≤ x < 27 U x > 27 . Скорее всего это и быо ответ
1 + 6 / ( t - 3) - 5 /( t^2 - 6t + 9) ≥ 0;
1 + 6 / ( t - 3) - 5 /( t- 3)^2 ≥ 0;
t^2 - 6t + 9 + 6(t-3 ) - 5 / (t -3)^2 ≥ 0;
t^2 - 6t + 9 + 6t - 18 - 5 / (t - 3)^2 ≥ 0;
(t^2 - 14) / (t - 3)^2 ≥0;
(t - √14) (t + √14) / ( t - 3)^2 ≥ 0; t ≠3
t = - √14;.
t = √14;
t = 3
эти точки отмечаем на координатной прямой.
Точка t = 3 _ это корень четной кратности, при переходе через него знак не меняем.
Метод интервалов для новой переменной t
+ - - +
___________- √14 __________3__________√14_________t
t ≤ - √14 U t ≥ √14.
log3_x ≤ - √14 U log3_x ≥ √14
с учетом одз х пронадлежит множеству
Ответ
0 < x ≤ 1/ 3^(√14) U x ≥ 3^(√14).
PS.
Единственное, смущают цифры в числителе. Понятнее было бы, если бы там вместо t^ - 14 было выражение типа t^2 - 16, например. Возможно где-то коэффициент неверно в условии проставлен. если бы вместо 5 в числителе было число 7, получилось бы такое неравенство
t^2 - 16 /(t-3)^2 ≥ 0;
(t -4)(t+4) / (t-3)^2 ≥ 0; И тогда метод интервалов решение для переменной t
+ - - +
_______- 4 ________3_________4____t
t ≤ - 4 U t ≥ 4 ;
Log3_x ≤ - 4 U log3_x ≥ 4;
0 < x ≤ 1/81 U x ≥ 81.
Если в условии перед 5 стоит вместо минуса плюс. ТО получается красота
t^ - 4 / (t - 3)^2 ≥ p;
(t - 2)(t+2) / (t - 3) ^2 ≥ 0;
+ - + +
__________- 2 ______________2___________3__________t
t ≤ - 2 U 2 ≤ t < 3 U t > 3;
log3_x ≤ - 2 U 2 ≤ log3_x <3 U log3_x >3;
0 < x ≤ 1/9 U 9 ≤ x < 27 U x > 27 . Скорее всего это и быо ответ
Приложения:
Вас заинтересует
2 года назад
7 лет назад
10 лет назад
10 лет назад