• Предмет: Математика
  • Автор: grgrinko
  • Вопрос задан 9 лет назад

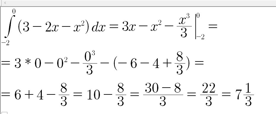
Вычислить площадь фигуры, ограниченной линиями
у=3-2х-х^2, у=0, х=0, х=-2

Ответы

Ответ дал: ShirokovP
0
см фото + решение
============================
Приложения:
Вас заинтересует