Ответы
Ответ дал:
0
Есть несколько простых правил, с помощью которых это неравенство можно легко решить.
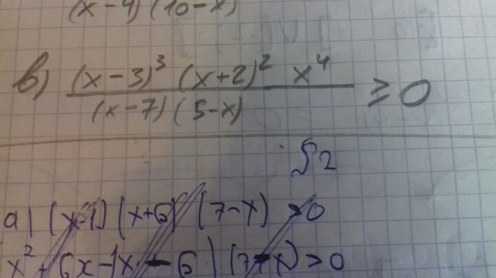
Приравниваем все скобки числителя к нулю.
Получаем,
x=3, x= -2, x=0
Тогда скобки знаменателя не равны 0.
Следовательно, x не равен 7, x не равен 5.
А теперь переходим к правилам. Если степень нечётная, то знаки около этого числа чередуются, а если чётная, то не чередуются. Далее, в неравенстве есть скобка, которая записана в нестандартном виде (5-x).
Стандартный вид это если в скобке x стоит в начале.
Если есть скобка, которая записана в нестандартном виде, то знаки начнут чередоваться с "-", а не с "+"(как обычно).
Получаем.
Точки -2; 0; 3 закрашенные, так как неравенство нестрогое(то есть знак "больше или равно").
Приравниваем все скобки числителя к нулю.
Получаем,
x=3, x= -2, x=0
Тогда скобки знаменателя не равны 0.
Следовательно, x не равен 7, x не равен 5.
А теперь переходим к правилам. Если степень нечётная, то знаки около этого числа чередуются, а если чётная, то не чередуются. Далее, в неравенстве есть скобка, которая записана в нестандартном виде (5-x).
Стандартный вид это если в скобке x стоит в начале.
Если есть скобка, которая записана в нестандартном виде, то знаки начнут чередоваться с "-", а не с "+"(как обычно).
Получаем.
Точки -2; 0; 3 закрашенные, так как неравенство нестрогое(то есть знак "больше или равно").
Приложения:

Вас заинтересует
2 года назад
2 года назад
7 лет назад
7 лет назад
9 лет назад
9 лет назад
10 лет назад