• Предмет: Математика
  • Автор: malyshevaania2
  • Вопрос задан 9 лет назад

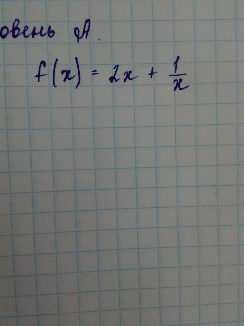
Укажите одну из первообразных функции:

Приложения:

Ответы

Ответ дал: volodyavoronko
0
f ( х ) = 2х + 1х = F ( х ) = 2 × х^22 -1х^2 = х^2 - 1х^2
Ответ дал: Дашуляар
0
f ( х )=2х+1х =F(х)=2*х^22-1х^2=х^2 - 1х^2
Вас заинтересует