Ответы
Ответ дал:
0
Во первых это не уравнение.
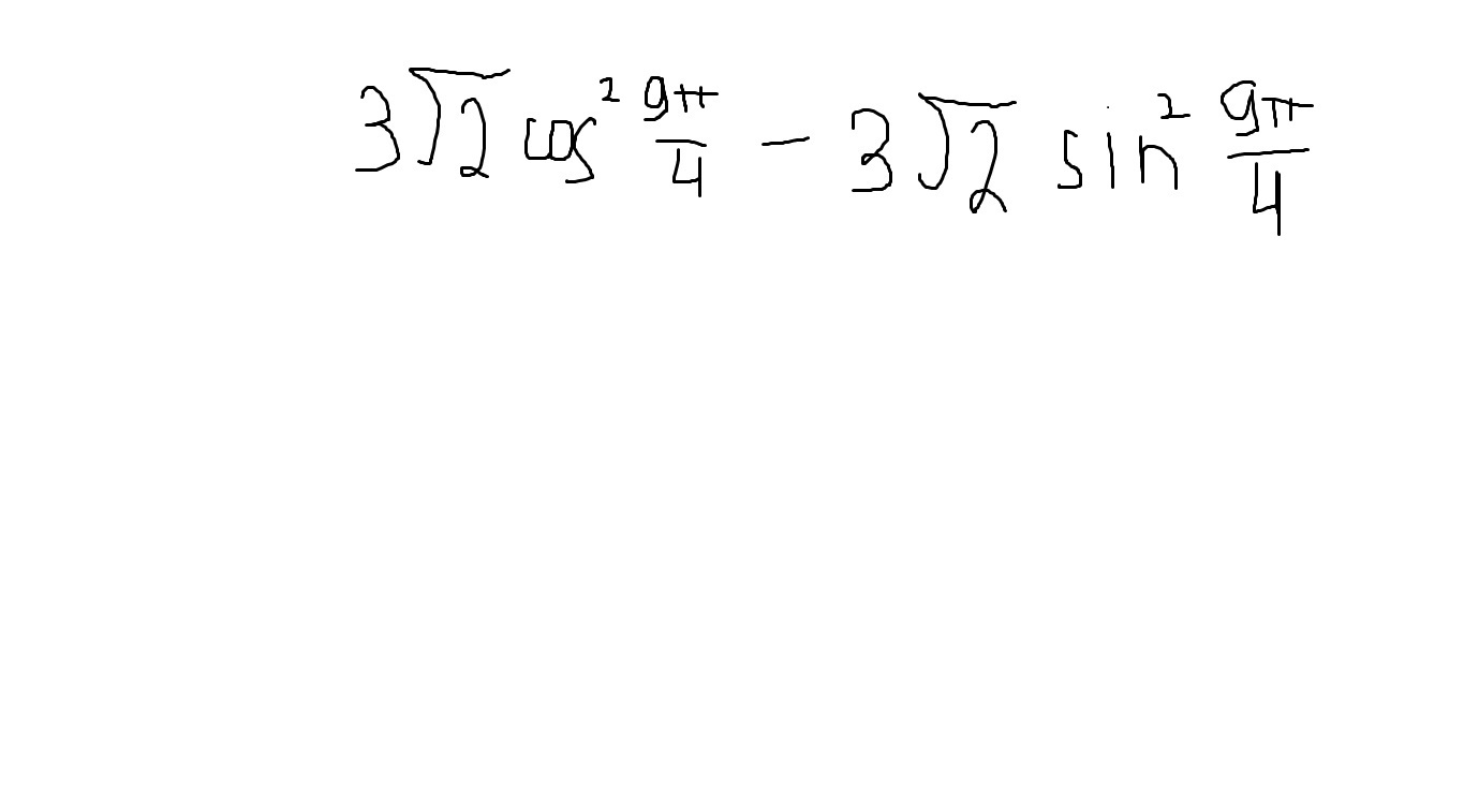
Воспользуемся формулой для косинуса двойного угла, получаем
= 
Воспользуемся формулой для косинуса двойного угла, получаем
Вас заинтересует
2 года назад
2 года назад
7 лет назад
7 лет назад
9 лет назад
9 лет назад
10 лет назад