• Предмет: Математика
  • Автор: Бантик1999
  • Вопрос задан 9 лет назад

Желательно,присылать вместе с решением

Приложения:

Ответы

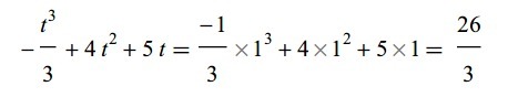
Ответ дал: SamanthaKotova
0
ex 253
------------------------------
Приложения:
Вас заинтересует