• Предмет: Алгебра
  • Автор: Nikolay0101
  • Вопрос задан 9 лет назад

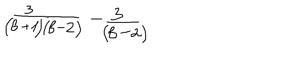
Упростить выражение))))

Приложения:

Ответы

Ответ дал: Kamasutra666
0
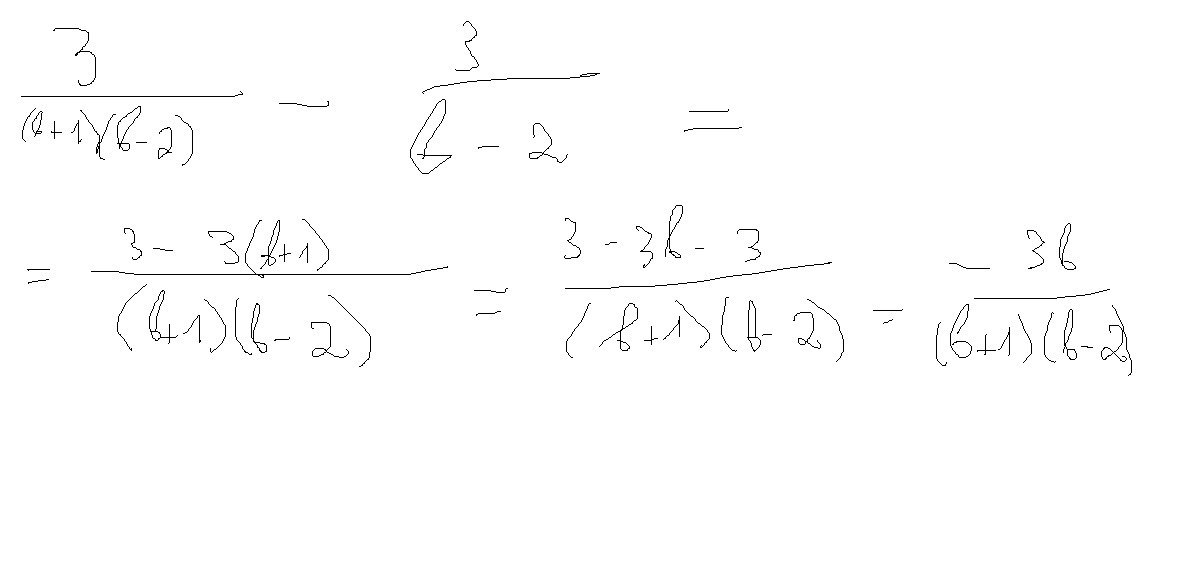
Прислал рисунок. Надеюсь, мои кривые руки нарисовали хоть что-то понятное :)
Приложения:
Ответ дал: Nikolay0101
0
а когда мы под общий знаменатель подносим разве не будет (b+1)(b+2)^2 ??
Ответ дал: Kamasutra666
0
Нет, зачем же? Там квадрат будет лишний.
Вас заинтересует