Ответы
Ответ дал:
0
9, формула биссектрисы равностороннего треугольника по его стороне:
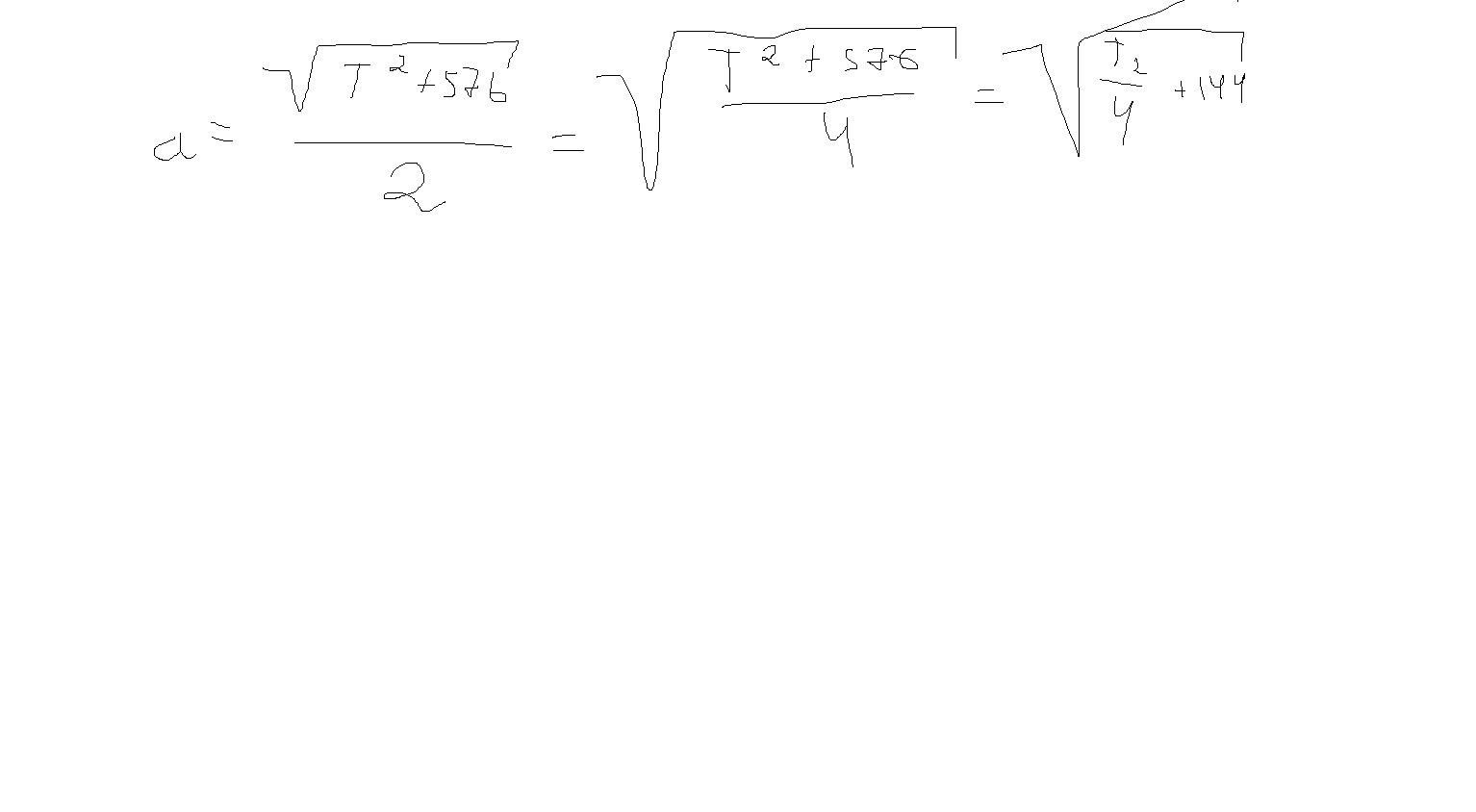
найдем гипотенузу АВ по теореме пифагора
а²=в²+с²=Т²+24²=Т²+576
а=√Т²+576
R=а/2=√Т²+576
------------ или смотри запись на рисунке приложенном
2
l =a√3/2=12√3*√3/2=18
10, Радиус описанной около прямоугольного тр-ка окружности равен половине гипотенузынайдем гипотенузу АВ по теореме пифагора
а²=в²+с²=Т²+24²=Т²+576
а=√Т²+576
R=а/2=√Т²+576
------------ или смотри запись на рисунке приложенном
2
Приложения:

Ответ дал:
0
Спасибо!
Вас заинтересует
2 года назад
2 года назад
7 лет назад
9 лет назад
9 лет назад
10 лет назад
10 лет назад