• Предмет: Математика
  • Автор: ірина201789
  • Вопрос задан 9 лет назад

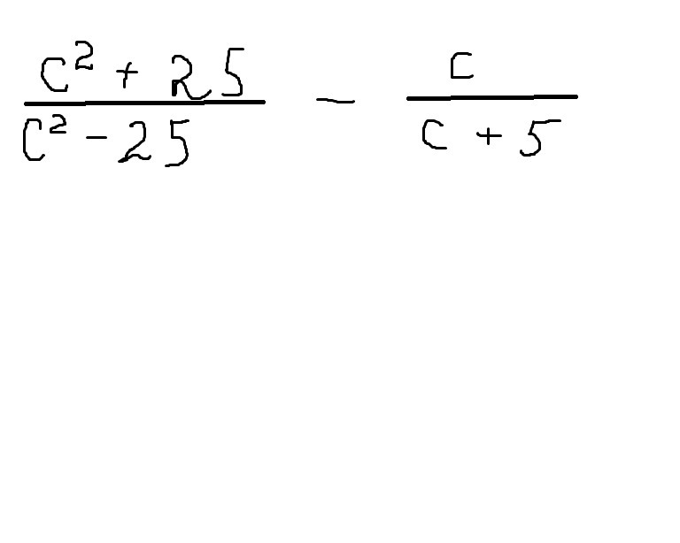
Спростіть вираз....................................................

Приложения:

Ответы

Ответ дал: daria562
0
Держи)))))))))))))))))))
Ответ дал: ірина201789
0
Что держать?
Ответ дал: daria562
0
извините,забыла прикрепить фото.Заново опубликуйте это задание, и я пришлю фото
Ответ дал: ірина201789
0
ок
Вас заинтересует