• Предмет: Математика
  • Автор: KLem5656
  • Вопрос задан 9 лет назад

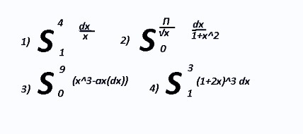
Нужна помощь в решении опр. интегралов.

Приложения:

Ответы

Ответ дал: SamanthaKotova
0
Без третьего, так как я так и не поняла его условия. Если получу нормальные объяснения, решу и его
Приложения:
Вас заинтересует