• Предмет: Алгебра
  • Автор: Fersie
  • Вопрос задан 9 лет назад

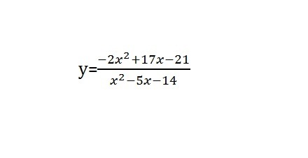
Как из первой функции получить вторую? (они на картинках)

Приложения:

Ответа на этот вопрос пока нет. Попробуйте найти его через форму поиска.

Вас заинтересует