площадь прямоугольника 288 квадратных см. a/b=1/2, найти надо 2а+3b..Ребят,помогите,не могу вспомнить решения (((
Ответы
Ответ дал:
0
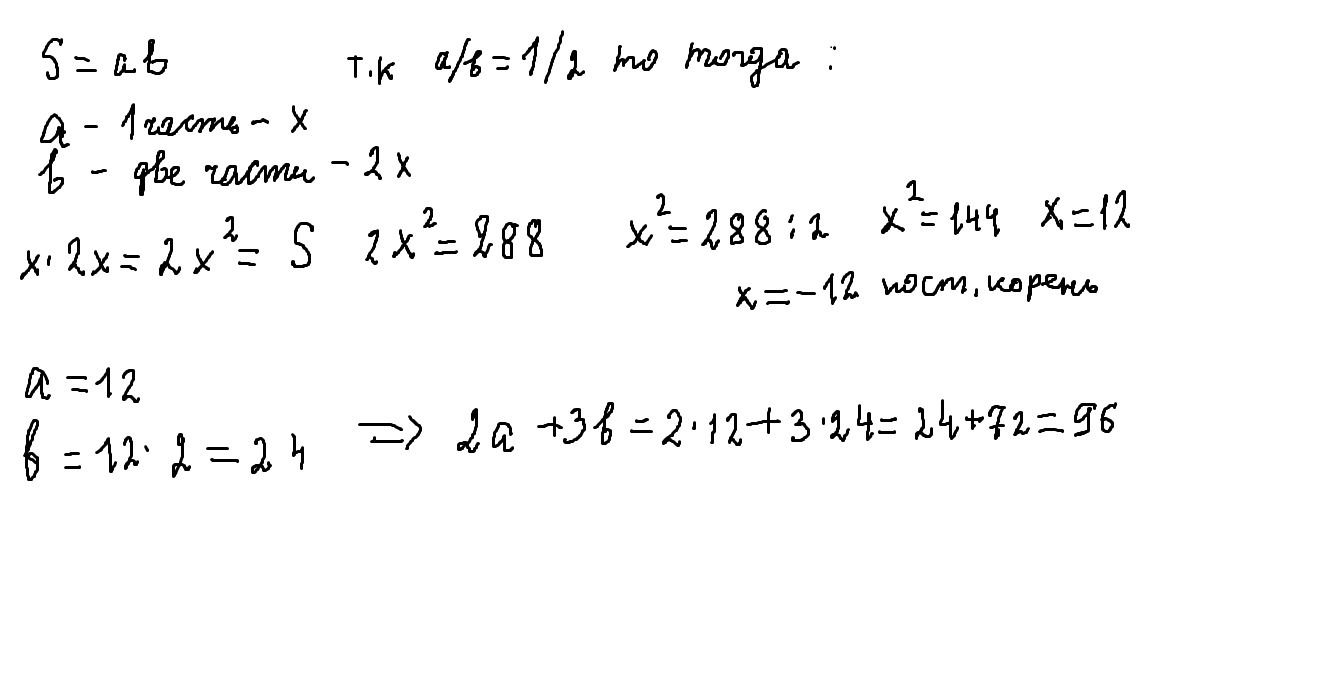
решение смотри внизу
Приложения:

Ответ дал:
0
спасибооо
Ответ дал:
0
не за что.
Ответ дал:
0
a/b=1/2
2a=b
пусть b=x,то
x*2x=288
2x^2=288
x^2=288/2
x^2=144
x=√144
x=12 (b=12)
a=12*2=24
2a+3b=2*24+3*12=48+36=84
2a=b
пусть b=x,то
x*2x=288
2x^2=288
x^2=288/2
x^2=144
x=√144
x=12 (b=12)
a=12*2=24
2a+3b=2*24+3*12=48+36=84
Приложения:

Ответ дал:
0
спасибо
Ответ дал:
0
не за что
Вас заинтересует
2 года назад
2 года назад
7 лет назад
7 лет назад
10 лет назад