Ответы
Ответ дал:
0
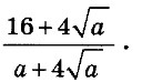
В числителе вынести за скобку 4, в знаменателе вынести корень из а
4(4+sqr(a))/(sqr(a)(sqr(a)+4)) скобки сокращаются остаётся
4/sqra
4(4+sqr(a))/(sqr(a)(sqr(a)+4)) скобки сокращаются остаётся
4/sqra
Вас заинтересует
2 года назад
2 года назад
7 лет назад
7 лет назад
9 лет назад
9 лет назад
10 лет назад
10 лет назад