• Предмет: Алгебра
  • Автор: luiza141
  • Вопрос задан 9 лет назад

решите с решением,если можно...

Приложения:

Ответы

Ответ дал: miron2077
0
!!!!!!!!!!!!!!!!!!!!!!!!!!!!!!!
Приложения:
Ответ дал: Gimngazia
0
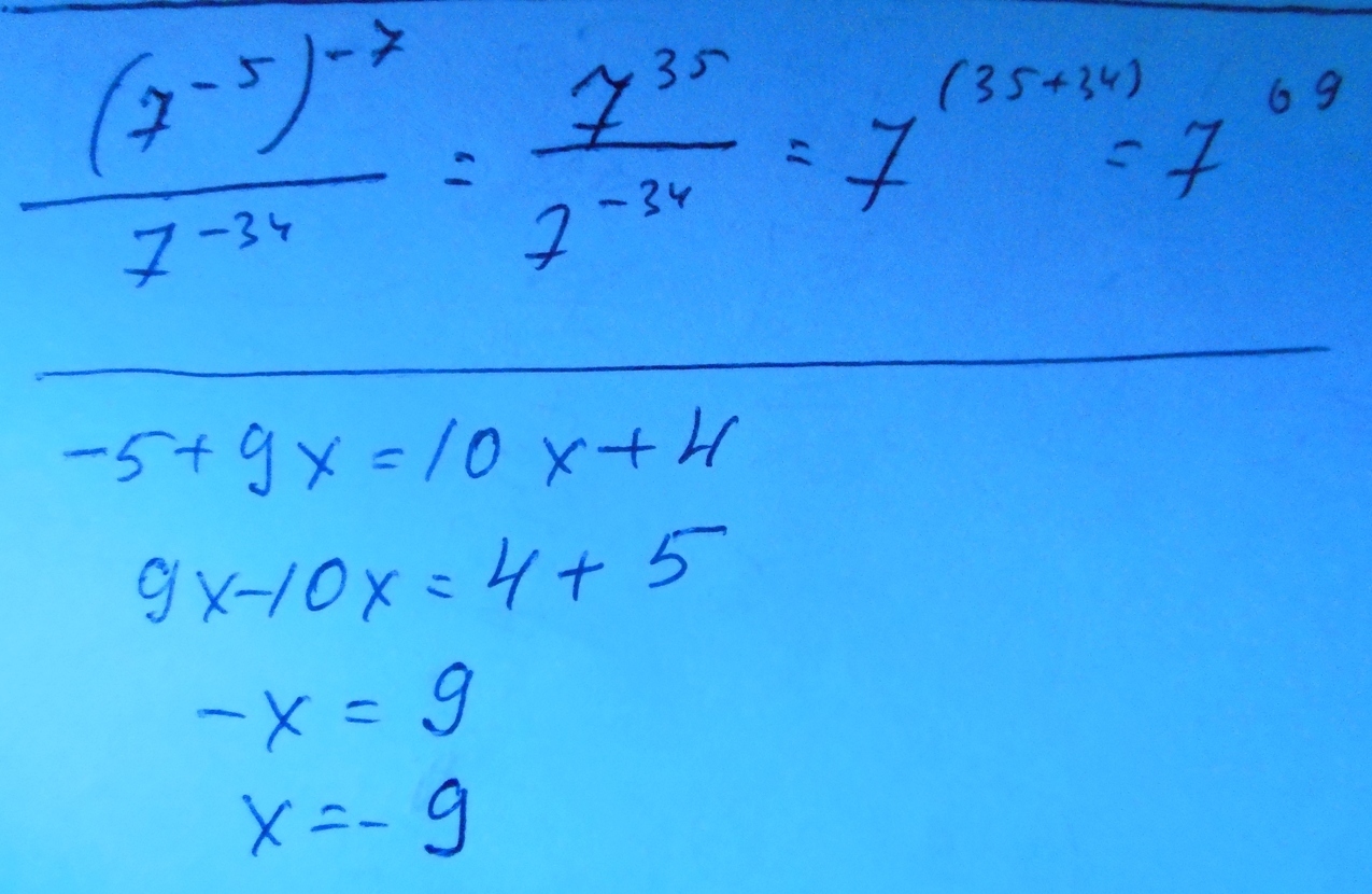
(7^-5)^-7/7^-34=7^-5•(-7)/7^-34=7^35/7^-34=7^35-(-34)=7^35+34=7^69
Ответ: номер 3)7^69
Приложения:
Вас заинтересует