• Предмет: Математика
  • Автор: jkalk
  • Вопрос задан 9 лет назад

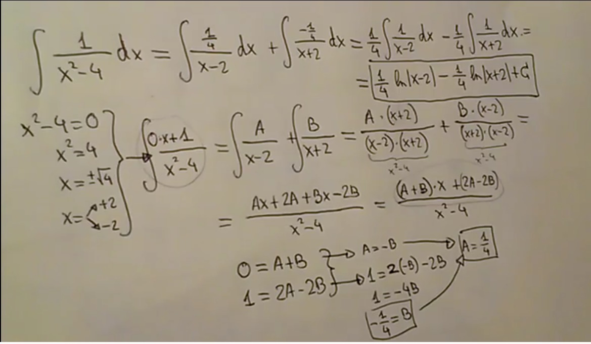
Помогите вычислить интеграл dx/x^2-4

Ответы

Ответ дал: ShirokovP
0
см фото
================================
Приложения:
Ответ дал: jkalk
0
Спасибо тебе большое
Вас заинтересует