• Предмет: Математика
  • Автор: Katia1981
  • Вопрос задан 9 лет назад

HELP!!!!!!!!!!!!!!!!!!!!!!!!!!!!

Приложения:

Ответы

Ответ дал: Аноним
0
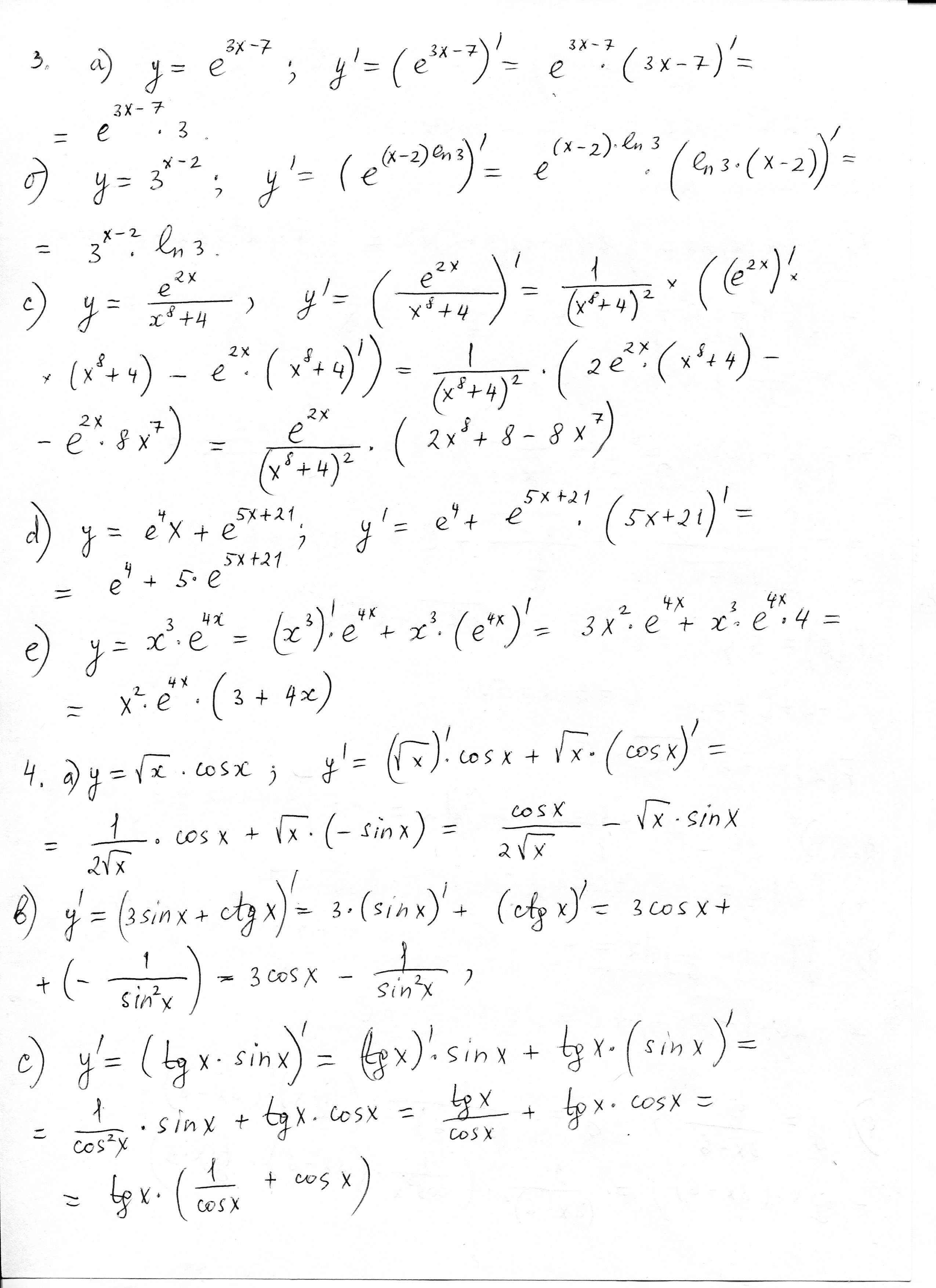
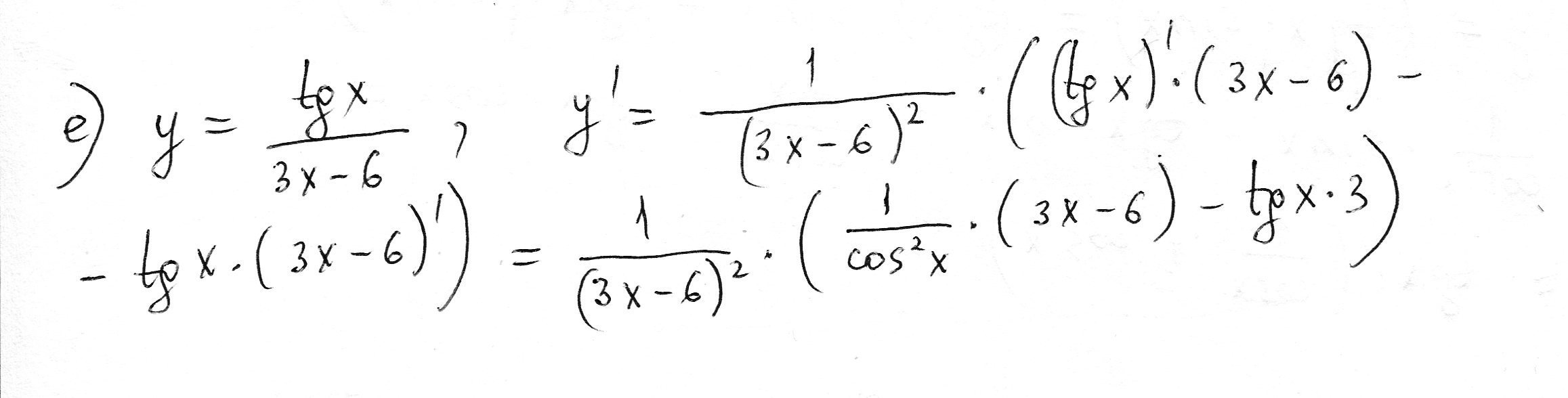
Решение на двух листках...
Приложения:
Вас заинтересует